欢迎光临OK138太阳集团!

学工动态

Student Dynamics

学工动态

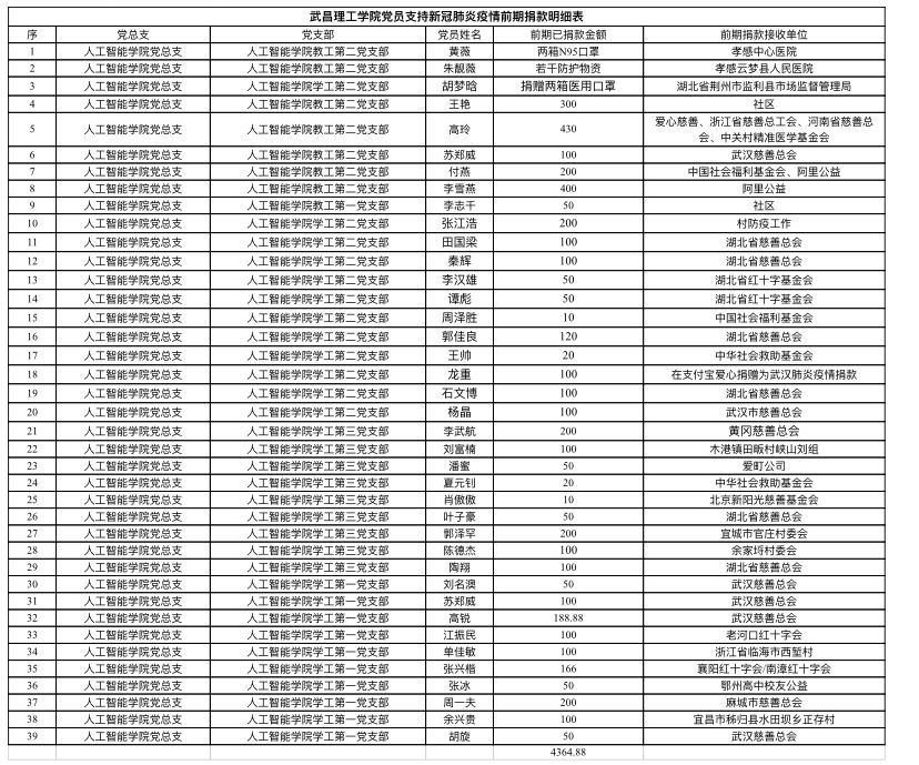
OK138太阳集团开展捐款活动

校对: 责编: 终审: 时间:2020-03-06 阅读:

   (通讯员 班俊 王尹灏予 报道)自新型冠状病毒引发肺炎疫情以来,牵动着全国人民的心。没有一个冬天不可逾越,没有一个春天不会来临。疫情散尽,国泰民安,是每一个中华儿女的共同心愿。每个人都在这场战役这种贡献着自己的一份力,有着许许多多的人投入到了这场没有硝烟的战争中,他们被称为“最美逆行者”,他们有的是冒险接送医生的司机,有的是坚持工作的外卖小哥,亦或者是紧急出动的建筑工人,还是主动请缨的医生护士,还有为了防止疫情扩散自觉在家隔离的每一位普通人,正是因为他们,我们才看到了希望,冬季的黑夜尽管漫长,但永远遮挡不住黎明的曙光。 
    在这种情况下,OK138太阳集团各师生都尽自己的一份力去支持一线上的防疫人员们,在各团委干部们的组织下,OK138太阳集团的师生都积极响应并参与到捐款活动中,据统计,OK138太阳集团师生以及党员共有91人捐款,捐款总额为9921.76元,一些同学参与到志愿者活动中,为抵抗疫情出一份力。在这些人之中不乏有一群“00后”,在这一夜之间,他们似乎就退去了青涩,让人们觉得那群懵懂的孩子们都长大了,这就是中国的年轻人,中国的希望,也是中国的未来,正是这些力量,凝聚了中华人民的团结精神。
    中华民族历史上,经历过很多磨难,但从来没有被打垮过,而是愈挫愈勇,不断在磨难中成长,从磨难中奋起,“哪有什么白衣天使,不过是一群孩子换了一身衣服,学着前辈的样子,治病救人、和死神抢人罢……”,他们与你素不相识却愿意为你堵上性命,谁的青春不是满腔热血,他们尽管害怕但是依然在一线奋战,面对传染性疾病,谁又能不怕呢,但是这些医护人员仿佛是一种天职,只要有患者我就得上,将恐惧抛掷脑后,让我们为最美的逆行者加油!白衣天使加油!武汉加油!中国加油!相信在不久的将来,中国可以重新恢复往日的热闹与美好。(完)