各团支部:
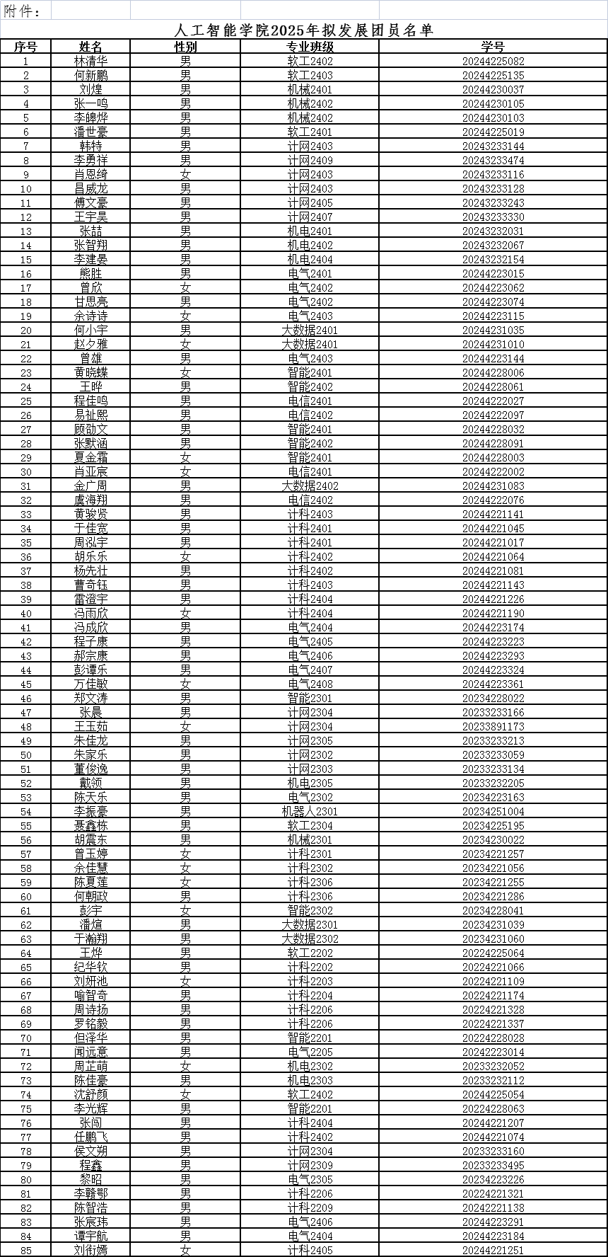
根据《中国共产主义青年团发展团员工作细则》、《校团委关于开展2025年新发展团员工作的通知》中有关规定,经学生申请、素导推荐、学院审核,拟发展以下85名同学为中国共产主义青年团团员。现将名单公示如下,接受全体师生监督和审议。如有异议,请及时向学院团委反映,一经查实,取消相关人员的入团资格。
公示时间:2025年3月25日--2025年3月30日
投诉电话:027-81652421
附件:2025年上半年OK138太阳集团拟发展团员名单
共青团OK138太阳集团委员会
二〇二五年三月二十五日
